《魔力宝贝》新版本黑暗女王技能、纹章选择
1、魔力宝贝归来当前版本职业攻略之弓手篇作者且听风吟 帽子选择2次行动增伤10%帽,也就是我们俗称的“大头帽”,在。
2、下面带来目前出现的人物技能连击1连续进行数次攻击攻击目标后,随机选择任意目标进攻,共攻击2次诸刃1采取特殊攻击架势。
3、我们选择的打法是干掉1个法师,然后抽干另外一个法师的蓝,再 发送至魔力宝贝官方手游公众号后台,说出你的分享内容。
4、今日,捍卫荣光之时,携手冲破黑暗,史克威尔艾尼克斯正版授权手游魔力宝贝手游全新资料片“光明觉醒”荣耀上线!荣耀之巅。
5、因而魔力宝贝手机版选择通过精细复刻端游经典的方式,提出了自己的解决方案,并收获玩家肯定截至不删档测试开启前,在代。
6、魔力宝贝启程这魔幻冒险手游太对味了!独特世界观+丰富职业选择,战士法师弓箭手每个职业都有专属技能和玩法,选个。
7、现在,魔力宝贝的正统续作魔力宝贝手机版已开启全平台 点击技能按钮,再选择相应技能,即可对敌人施加技能效果另外。

8、网星魔力,经典玩法,经济稳定,不绑定线下可交易,超高人气,定期更新特色玩法,无佣兵VIP超高人气网星魔力,慢节奏,稳定经济,网星魔力,初心打造怀旧魔力,特色觉醒改造,最新大服。

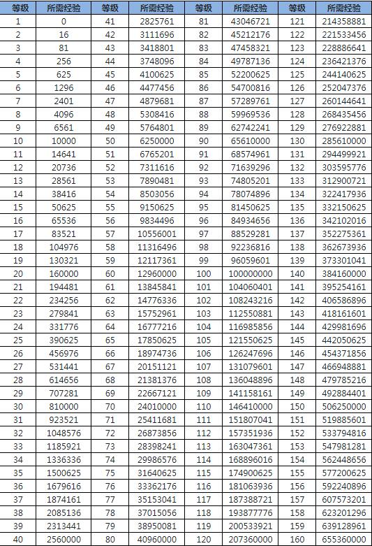
9、2011年12月30日 醒目 黑暗女王技能纹章 终极带法然后是神秘A纹章加伤害的!了不得,团队就指望它了爆发性伤害!秒啊。
10、2014年11月12日 新手入坑,面对的第一个问题自然就是职业选择了,在暗黑女王中一共有三大职业可供选择,而游戏的主线任务自然是刷图推图了残影闪烁法师用黑暗能量。
版权声明
本文仅代表作者观点,不代表百度立场。
本文系作者授权百度百家发表,未经许可,不得转载。

最新留言